Home
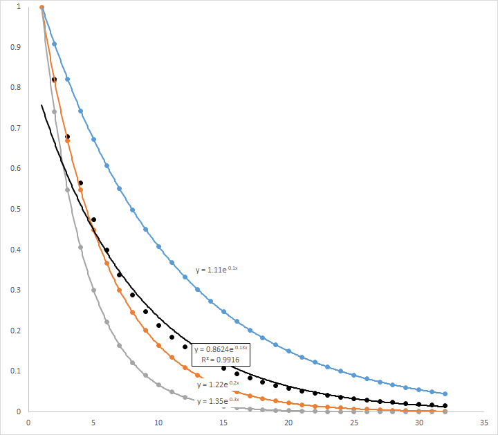
Exponential, No Floor, Same Start:
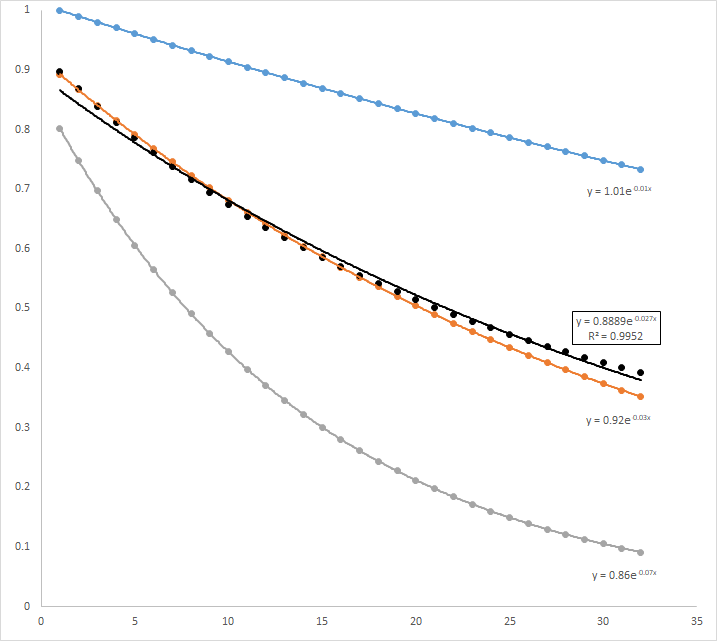
Exponential, No Floor, Diff Start:
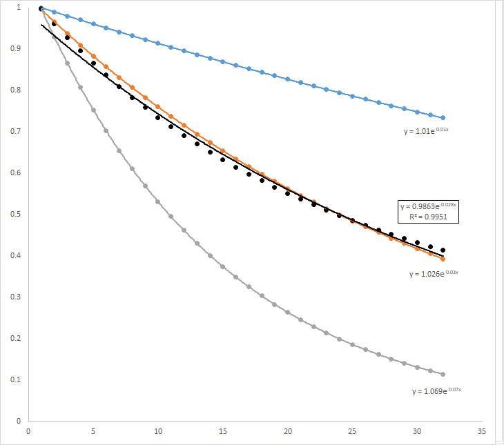
Exponential, Floor, Same Start:
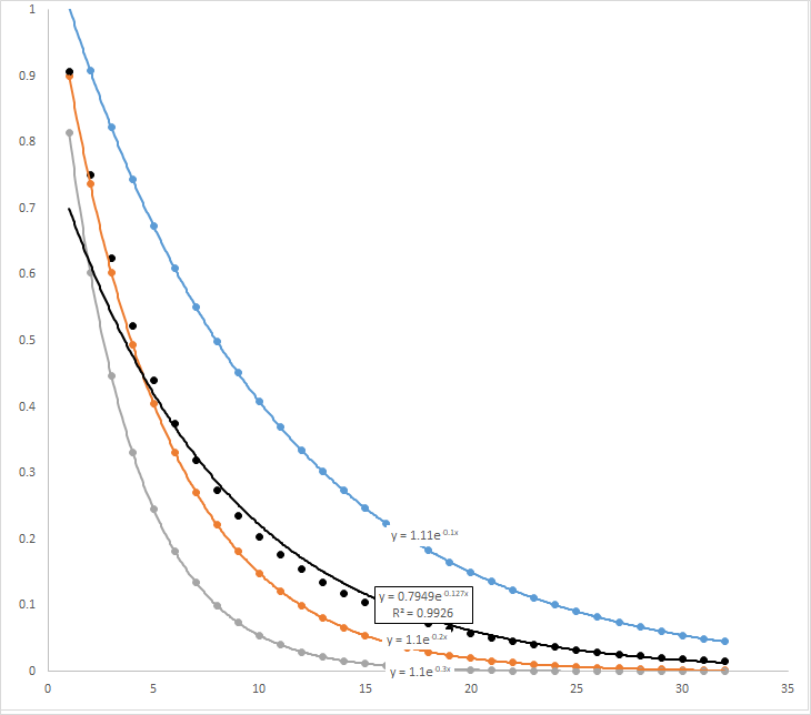
Exponential, Floor, Diff Start: