Home
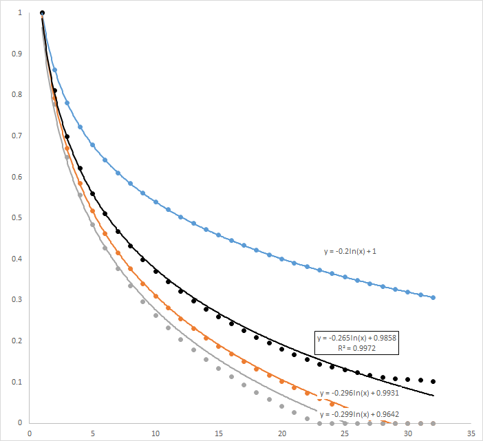
Logarithmic, No Floor, Same Start:
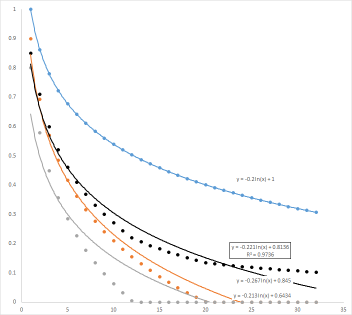
Logarithmic, No Floor, Diff Start:
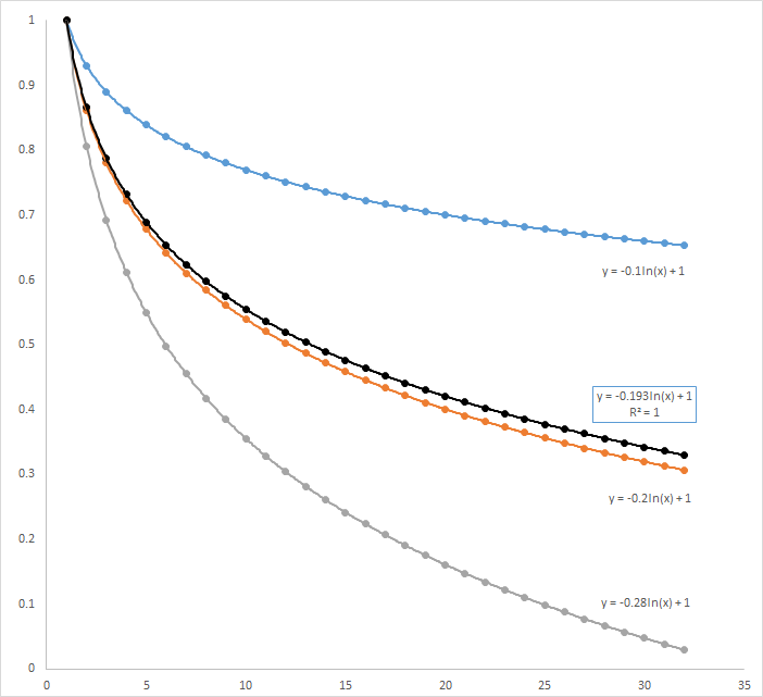
Logarithmic, Floor, Same Start:
Logarithmic, Floor, Diff Start: