Home
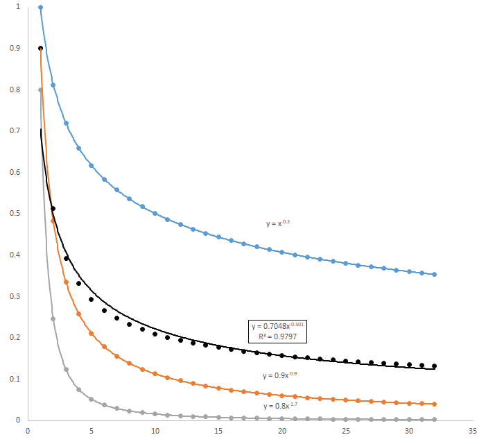
Power, No Floor, Same Start:
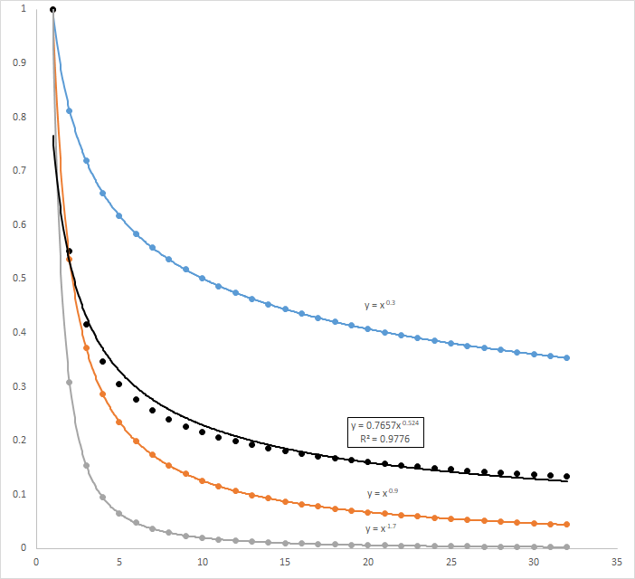
Power, No Floor, Diff Start:
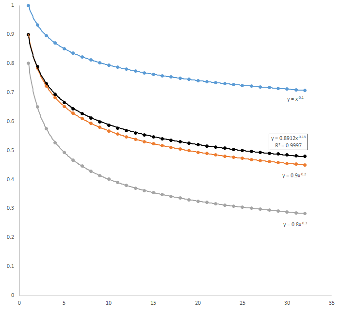
Power, Floor, Same Start:
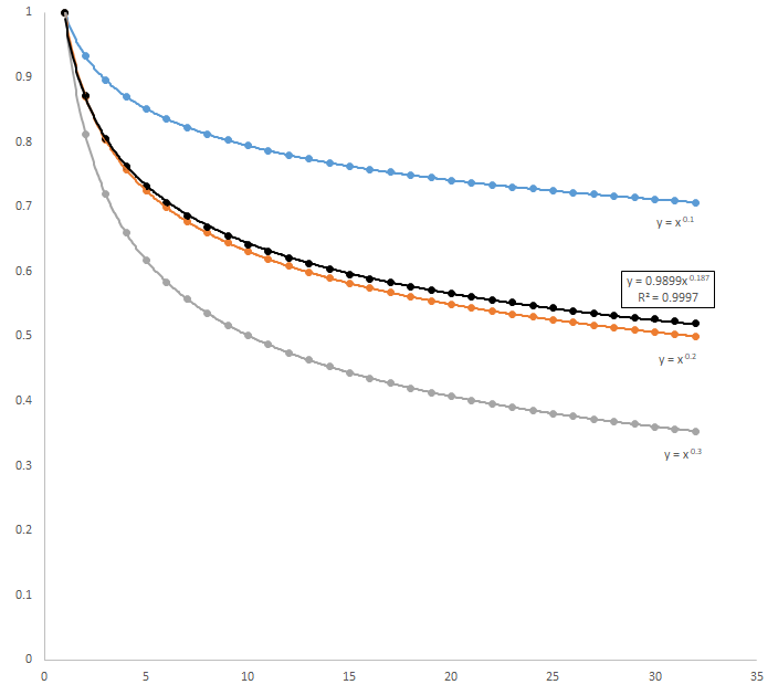
Power, Floor, Diff Start: