Logarithmic No Floor Same Start Home
Logarithmic No Floor Different Start
Logarithmic Floor Same Start Logarithmic Home
Logarithmic Floor Different Start

Power Fit
Linear Fit
Exponential Fit
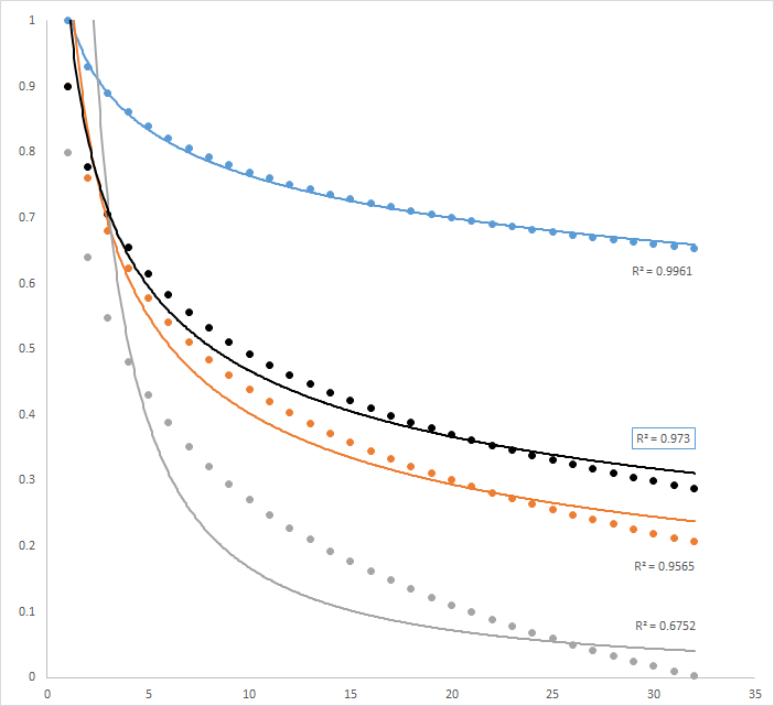
Logarithmic Fit