Logarithmic No Floor Same Start
Home
Logarithmic No Floor Different Start
Logarithmic Floor Same Start
Logarithmic Home
Logarithmic Floor Different Start
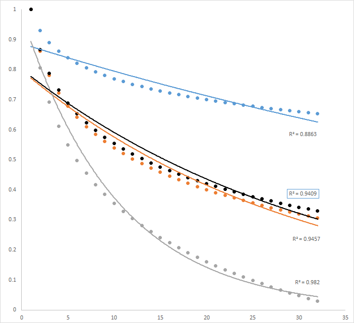
Power Fit
Linear Fit
Exponential Fit
Logarithmic Fit