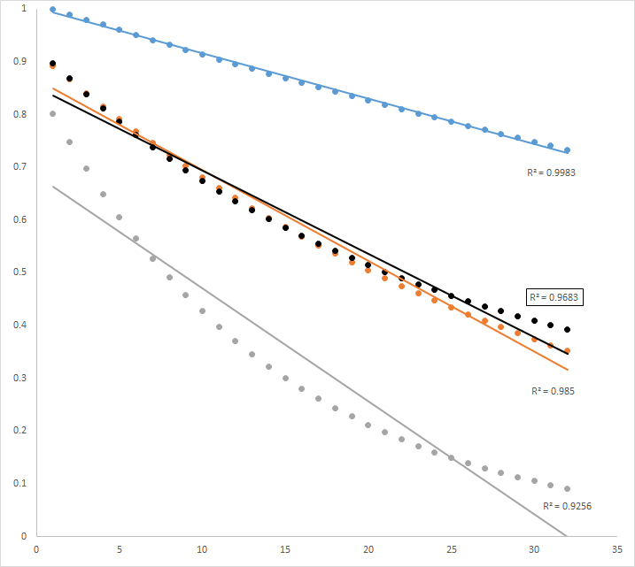
Exponential No Floor Same Start Home
Exponential No Floor Different Start
Exponential Floor Same Start Exponential Home
Exponential Floor Different Start

Power Fit
Linear Fit
Exponential Fit
Logarithmic Fit