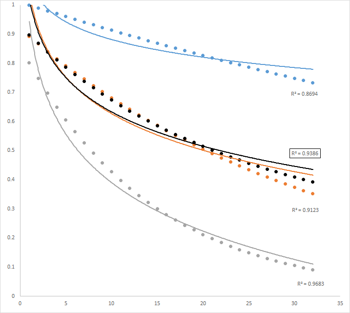
Exponential No Floor Same Start
Home
Exponential No Floor Different Start
Exponential Floor Same Start
Exponential Home
Exponential Floor Different Start
Power Fit
Linear Fit
Exponential Fit
Logarithmic Fit